Matematikai módszerek a biometriában 1.

A binomiális eloszlás alkalmazási lehetőségei ujjnyomat azonosító rendszerek vizsgálatában, a maximum likelihood elv alkalmazásával.

Személyek biometrikus jellemzők alapján történő azonosítása az utóbbi években egyre nagyobb figyelmet von magára. Megkülönböztethetünk számos biometrikus jellemzőt, de több ok miatt az ujjnyomat a leggyakrabban alkalmazott ezek között. Ennek oka, hogy az ujjnyomat könnyen hozzáférhető, viszonylag jó hatásfokkal alkalmazható, és az ujjnyom érzékelő szenzoroknak viszonylag alacsony ára. Habár számos ujjnyomat felismerő rendszer hozzáférhető a kereskedelemben, a publikációk nagy száma mutatja, hogy szükség van további kutatásokra e rendszerek megbízhatóságának és hatékonyságának növelése érdekében. Ebben a cikksorozatban néhány olyan valószínűségelméleti és statisztikai módszert mutatunk be, amelyek alkalmasak lehetnek e rendszerek hatékonyságának és a megbízhatóságának értékelésére és növelésére.

1. Bevezetés

Bimetrikus beléptetőrendszereket számos módon lehet jellemezni. A gyártók valamint az üzemeltetők és felhasználók szempontjából azonban különlegesen fontos jelentősége van néhány valószínűségi jellemzőnek.

  • Ezek között szerepel a téves elfogadási arány (FAR = False Accept Rate), amely arról ad felvilágosítást, hogy illetéktelen, tehát nem regisztrált személyek milyen eséllyel jutnak keresztül adott beléptetőrendszeren.
  • A téves elutasítási arány (FRR = False Reject Rate), amely arra vonatkozólag ad információt, hogy a regisztrált felhasználók esetében milyen eséllyel következik be elutasítás, tehát mi a valószínűsége annak, hogy egy jogosult személyt a beléptetőrendszer nem enged át.

Ebben a cikksorozatban elsősorban ennek a két valószínűségi jellemzőnek a vizsgálatával foglalkozunk, de a sort lehet folytatni.

  • Létezik a jellemző paraméterek között téves azonosítási arány is (FIR = False Identification Rate), amely azt jelenti, hogy bizonyos esetekben a beléptetőrendszer egy biometriai jellemzőt úgy azonosít, hogy egy másik regisztrált felhasználó biometriai jellemzőivel összetéveszti. Erről a belépő személy nem is értesül, de nyilván ha ez az érték nagy az nem szolgálja a rendszer javát.

Az alábbi vizsgálatokat elvileg tetszőleges biometrikus azonosító rendszer esetében el lehet végezni. A konkrétum érdekében azonban mi kiválasztottunk egyet a több lehetőség közül, az ujjnyom azonosító rendszereket. Tettük ezt azért, hogy a felhasznált matematikai módszerek alkalmazását konkrét formában is be tudjuk mutatni. Az elv amelyet alkalmazunk az, hogy kiválasztunk egy, a problémához jól illeszkedő valószínűségeloszlás t, majd alkalmazzuk a maximum likelihood elvet, ezek után pedig általános statisztikai módszereket, pont és intervallumbecsléseket, annak érdekében, hogy az azonosító rendszerekre megállapított, már említett valószínűségi adatok statisztikailag szignifikánsak legyenek. Ezt a gondolatsort mutatjuk be részletesen ujjnyom azonosító rendszerekre.

Ez a dolgozat egy három részes cikksorozat első része.

  • Az 1. részben bemutatjuk, hogyan alkalmazható egy konkrét valószínűségeloszlás biometrikus jellemzők vizsgálata során. Ezután pedig a maximum likelihood elv alkalmazásának bemutatása következik, amely arra szolgál, hogy az eloszláshoz megtaláljuk a lehető legjobb, az optimális paramétereket. Már itt hangsúlyozzuk, hogy ez a módszer tetszőleges valószínűségeloszlásra alkalmazható.
  • A cikksorozat 2. részében általános statisztikai módszereket mutatunk majd be. A pontbecslés javítására vonatkozó igen hatékony Bayes-analízist, valamint az intervallumbecslés módszereit és alkalmazási lehetőségeit.
  • A 3. részben pedig a vázolt módszerek alkalmazásaképpen bemutatjuk a FAR és FRR arányok meghatározásának egy konkrét lehetőségét, valamint illusztráljuk, hogyan lehet különböző beléptetőrendszereket összehasonlítani ROC-görbék segítségével.

 

2. binomiális eloszlás és alkalmazása a biometriában

A biometrikus azonosító rendszerek statisztikai elemzésének lehetőségét konkrét példán, egy meghatározott valószínűségeloszlás alkalmazásán keresztül szeretnénk bemutatni. Az általunk választott eloszlás a binomiális eloszlás. Azért választjuk ezt, mert ez az eloszlás a vizsgált témakörben számos szituációban alkalmazható. Ennek lehetőségét az alábbiakban konkrétan az ujjnyomat azonosító rendszerek vizsgálata során részletezzük.
A binomiális eloszlás a Bernoulli-féle feladatra adott válaszként definiálható.
A Bernoulli féle feladat a következő [1, 2, 3]: Adott egy p valószínűségű A esemény, amelyre vonatkozólag végzünk n darab független megfigyelést.
A kérdés a következő: Mi a valószínűsége annak, hogy az n megfigyelés során a vizsgált A jelű esemény pontosan r alkalommal következik be (r = 0, 1, 2, …, n).
Definiáljuk a ξ valószínűségi változót a következő módon: az A esemény bekövetkezéseinek a száma.
Ekkor a ξ valószínűségi változó definíció szerint binomiális eloszlású. Az eloszlás a következő:

(2.1) képlet

A binomiális eloszlást tehát két paraméter határozza meg, a megfigyelések n száma és a p valószínűség. Ezért szokás az eloszlásra egyszerűen a Bin(n, p) jelöléssel hivatkozni. Hangsúlyozzuk, hogy az eloszlás alkalmazhatóságának alapvető kritériuma a függetlenség, amely konkrétan azt jelenti, hogy ha végeztünk egy megfigyelést, akkor a következő megfigyelés eredményét, amelyet szigorúan azonos feltételek mellett kell elvégezni, az előző megfigyelés eredménye nem befolyásolja. Az alábbiakban mutatunk néhány példát, amikor biometrikus rendszerek vizsgálata során ez az eloszlás alkalmazható. A binomiális eloszlás a (2.1) képlet alapján közvetlenül számítható: Egy lehetőség ennek számítására a minden számítógépen telepített Excel szoftver, amelyben „függvény beszúrása” utasítással kiválasztható a binomiális eloszlás értékeit kiszámító alprogram, de léteznek előre gyártott táblázatok is [1].

1. példa

Tegyük fel, hogy egy cég biometrikus azonosító rendszerek gyártásával foglalkozik. Tegyük fel továbbá, hogy n darab üzemeltető vásárol egyazon típusú azonosító rendszerből és – jó közelítéssel – azonos körülmények között működteti azt. Világos, hogy ezek a rendszerek egymástól függetlenül működnek, és az is, hogy mivel azonos rendszerekről van szó, mindegyik meghibásodásának a valószínűsége ugyanaz a p érték.
A kérdés lehet a következő: Mi a valószínűsége, hogy az n darab üzemelő rendszer közül pontosan r darab meghibásodik például egy éven belül. Ez a kérdés példaként garanciális okok miatt felmerülhet a gyártó szempontjából. Világos, hogy a probléma Bernoulli-féle feladat. Ha tehát a ξ valószínűségi változót úgy értelmezzük, hogy az n darab értékesített beléptetőrendszer között az egy éven belül meghibásodott rendszerek száma, akkor a ξ binomiális eloszlású, tehát (2.1) képlet adja meg a választ a kérdésre.

2. példa

Tegyük fel, hogy egy biometrikus beléptetőrendszer üzemel n darab regisztrált felhasználóval. Az üzemeltető és a felhasználók szempontjából egyaránt lényeges kérdés, hogy milyen valószínűséggel következik be egy téves elutasítás, tehát egy olyan esemény, amely során a regisztrált, tehát belépésre jogosult felhasználót a rendszer nem engedi át, elutasítja. Ez a jellemző a téves elutasítási arány (FRR), amely az ilyen beléptetőrendszerek egyik legfontosabb paramétere. Világos, hogy ez nem csak a felhasználók szempontjából lényeges kérdés, hanem a gyártó cég szempontjából is, hiszen minél kisebb ennek az értéke, annál jobban működik a rendszer, könnyebb magas áron értékesíteni. A kérdés, hogyan lehet ezt az arányt kiszámítani.
A konkrétum kedvéért tegyük fel, hogy egy ujjnyomat-azonosításon alapuló beléptetőrendszert vizsgálunk. Ebben az esetben minden felhasználónak az elsődleges ujjnyomata szerepel a rendszer adatbázisában. Belépéskor az olvasófej beolvas egy másodlagos ujjnyomatot. Ezt a másodlagos ujjnyomatot hasonlítja össze a szoftver az adatbázisban levő elsődleges nyomatokkal [4, 5, 6, 7]. Első megközelítésben induljunk ki abból, hogy az egyes felhasználók másodlagos ujjnyomatának szoftveres elemzése egymástól független. Ez világos, hiszen egy ujjnyomat elemzése semmilyen módon nem befolyásolja egy következő ujjnyomat azonosítását. Továbbá tegyük fel, hogy a másodlagos ujjnyomat azonosítása ugyanazzal az 1 – p valószínűséggel történik minden felhasználóra, tehát p annak valószínűsége, hogy egy regisztrált felhasználót a rendszer elutasít. (Ezen a ponton lehet vitatkozni azon, hogy ez valóban ugyanaz a valószínűség vagy sem. Ha figyelembe vesszük azt, hogy minden ember ujjnyomata más, akkor biztosan vannak különbségek, de ha szeretnénk matematikai módszerekkel leírni a problémát, akkor ezzel az idealizációval élnünk kell.)

Definiáljuk a ξ valószínűségi változót a következő módon: Legyen egy adott napon az n darab regisztrált felhasználó egyszeri belépése esetén azok száma, akiket a rendszer elutasít. Ez ugyancsak Bernoulli-féle feladat, tehát a ξ binomiális eloszlású.

Ha ugyanilyen feltételek mellett az η valószínűségi változót úgy értelmezzük, hogy egy adott felhasználó esetén azon esetek száma egy év alatt, amikor a rendszer nem engedi át az adott felhasználót, akkor ez ugyancsak binomiális eloszlású. Ebben az esetben viszont nyilván nem kérdéses, hogy minden egyes belépés esetén az esemény bekövetkezésének valószínűsége ugyanaz a p érték.

Ugyanilyen logikával leírható az az esemény, amikor egy nem regisztrált felhasználó, tehát egy „imposztor” át akar jutni a beléptetőrendszeren. Ezek aránya a téves elfogadási arány (FAR). Ez ugyancsak binomiális eloszlással modellezhető. Ez a paraméter ugyancsak nagyon fontos jellemzője a beléptetőrendszernek. Egy rendszer annál jobb, minél kisebb ez az érték. Az FRR és FAR értékek részletes vizsgálatára a későbbiekben visszatérünk.

3. példa

Foglalkozzunk részletesebben az ujjnyomat azonosító rendszerekkel. Hogyan is azonosít egy ujjnyomat érzékelő és kiértékelő szoftver [4, 5, 6, 7]. Az elsődleges ujjnyomat alapján azonosítanak úgynevezett minutiákat, amelyek az ujjnyom jól azonosítható pontjai. Az 1. ábrán – amely sematikus kép, nem valódi ujjnyom – láthatunk példát ilyenekre.

Matematikai módszerek a biometriában
Az ujjnyom-azonosítás minutiák alapján történik – 1. ábra

Az ábrán látható minutiák neve fentről lefelé haladva: végződés, szem, elágazás, sziget. A lényeg, hogy a „sima”, „hibátlan” barázdarendszer nem eléggé karakteres, nem használható azonosításra. Ehelyett az ábrán látható jellegzetes pontokat használják úgy, hogy figyelembe veszik ezek távolságát, valamint irányát, hiszen ezekhez a pontokhoz rendelhető irány is, amely irány a pontból induló vagy oda érkező barázdának az iránya, vagy egy barázdaszakasznak az iránya. A szoftver az elsődleges ujjnyomatok alapján ezeket regisztrálja és a másodlagos ujjnyomatot ezekhez hasonlítja.

A rendszer általában két vizsgálatot végez:
1. lépés: Meghatározza az adott típusú minutiák – ez azt jelenti, hogy a szoftver referencia minutiákat vesz alapul a vizsgálathoz (1. ábra) – egymástól mért távolságát egy bizonyos távolsági tolerancia figyelembe vételével. Ugyanis bőrünknek van annyi rugalmassága, hogy két különböző alkalommal a minutiák nem kerülnek egzaktul ugyanolyan relatív távolsági helyzetbe. Ha azonban bizonyos okok miatt a távolsági toleranciát áthágjuk, akkor a rendszer természetesen elutasít bizonyos eséllyel. A 2. ábrán láthatunk példákat ilyen távolsági vizsgálatra.

Matematikai módszerek a biometriában
Minutiák távolsági azonosítása – 2. ábra

2. lépés: Miután a távolsági vizsgálat megtörtént, következik az irány szerinti vizsgálat. Azt kell tekintetbe venni, hogy a helyileg és típus szerint azonosított minutiák iránya is megegyezik-e az elsődleges ujjnyomaton található minutiák irányával. Természetesen, ugyancsak a bőr rugalmassága miatt, meg kell engedni egy bizonyos szög szerinti toleranciát is. A 3. ábrán a minutiákhoz rendelt irányok láthatók.

Matematikai módszerek a biometriában
Minutiákhoz rendelt irányítás (pontosan egy végződéshez kék nyílat és egy elágazáshoz piros nyilat rendeltek a képet) 3. ábra

A minutiák szög szerinti azonosítása ugyancsak modellezhető binomiális eloszlással. A pozíció szerinti eloszlás közvetlenül azonban nem, majd a 4. példában megadjuk azt a módosítást, amely már leírható a Bernoulli-féle feladattal.
A minutiák pozíció szerinti azonosítása ismétlés nélküli mintavételi modellel írható le [1, 2, 3]. Ennek oka az, hogy a minutiák pozíció szerinti azonosítása nem független, ha egy minutiát már helyileg azonosítottunk, akkor a következő esetében az azonosítás valószínűsége különbözik az előző lépésétől, mert már kevesebb minutia maradt. Ez tehát nem Bernoulli-feladat. Tegyük fel tehát, hogy a sablon tartalmaz N darab referencia minutiát. Ezek között S darab olyan van, amelyek az adott másodlagos ujjnyomat értékelhető, feldolgozható területén belül vannak. Ezek után a kiértékelhető területen belül következik az összehasonlítás műveletsora. Tegyük fel, hogy a vizsgált területen található u darab minutia amelyek közül a szoftver m darabot tud pozíció szerint azonosítani. Mi ennek az eseménynek a valószínűsége? Az ismétlés nélküli mintavétel, vagy más néven a hipergeometriai eloszlás [1, 2, 3] szerint ez a következő

Matematikai módszerek a biometriában
(2.2) képlet

Ha már azonosított a rendszer m darab minutiát típus és hely szerint, akkor következik az irány szerinti azonosítás. Az irány szerinti azonosítás azonban már Bernoulli-féle feladat, ugyanis az egyes pozícióhelyes minutiák esetén egymástól függetlenül ugyanakkora p valószínűséggel következik be, hogy egy adott minutia iránya egy adott szögtolerancia figyelembe vételével adott szögtartományba esik.

Ha tehát a ξ valószínűségi változót úgy értelmezzük, hogy a hely és típus szerint azonosított m darab minutia között azok száma, legyen ez r, amelyek irány szerint is megfelelőek, akkor ez a valószínűségi változó binomiális eloszlású. Ezek szerint a (2.1) és (2.2) képletek felhasználásával azt mondhatjuk, hogy annak valószínűsége, miszerint egy másodlagos ujjnyomaton r darab minutia azonosítható a következő

Matematikai módszerek a biometriában
(2.3) képlet

Ebben a szituációban is alkalmazható tehát a binomiális eloszlás.

4. példa

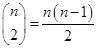
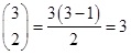
Módosíthatjuk a 3. példabeli távolság szerinti azonosítás problémáját úgy, hogy alkalmazható legyen a Bernoulli-féle feladat és így a binomiális eloszlás. Tegyük fel, hogy a rendszer felismer n darab minutiát a másodlagos ujjnyomaton. Ha ezeket párosítjuk, vagyis vizsgáljuk a kölcsönös távolságokat akkor világos, hogy összesen Matematikai módszerek a biometriában  darab minutiapárt tudunk kiválasztani. A távolsági azonosítás abból áll, hogy mindezeket a távolságokat a rendszer „megméri”. Azonban nyilvánvaló, hogy ezek a távolságok nem mind függetlenek. Válasszunk ki ugyanis egy tetszőleges minutiát, és rögzítsük vonatkoztatási pontként. Ha ettől a ponttól mérjük a távolságokat, akkor nyilván elég a többi n – 1 darab minutia távolságát és ezen minutiák vonatkoztatási ponthoz viszonyított irányát meghatározni, a többi pár távolsága ezekből az adatokból már következik.

Matematikai módszerek a biometriában
Független minutiapárok távolsága – 4. ábra

A 4. a) ábrán látható, hogy n = 3 esetén, amikor Matematikai módszerek a biometriában  elég 3 – 1 = 2 független távolságot meghatározni (a piros színű szakaszok), a b) ábrán, tehát n = 4 esetén, amikor, Matematikai módszerek a biometriában  elég 4 – 1 = 3 független távolságot meghatározni (piros színű szakaszok), a többi távolság ezekből már következik, mondhatjuk úgy is, ezekkel együtt a távolságok már nem függetlenek. De n – 1 darab távolság független rendszert alkot.
Módosítsuk tehát a 3. példabeli távolsági azonosítást az alábbi módon.

Rögzítünk egy minutiát vonatkoztatási pontként, és definiáljuk a ξ valószínűségi változót úgy, hogy azon minutiák száma a maradék n – 1 darab minutia között, amelyek távolsága megfelel a sablonbeli távolságoknak. Ekkor – mivel a mondottak szerint ezek a megfigyelések függetlenek – a ξ valószínűségi változó binomiális eloszlású. Ha p jelöli annak valószínűségét, hogy egy adott minutia a vonatkoztatási ponttól megfelelő távolságban van, akkor ezen független megfigyelések eloszlása Bin(n –1, p) Bernoulli eloszlás.
Mivel a későbbiek szempontjából fontos szerepe van, ezért ismét felírjuk annak az eseménynek a valószínűségét, hogy a biometrikus rendszer a vázolt módon azonosít r darab minutiát, a következő

Matematikai módszerek a biometriában
(2.4) képlet

Előrevetítve a későbbi vizsgálatokat, ezzel a formulával lehet meghatározni a téves elutasítási arányt is és a téves elfogadási arányt is. Mindössze annyit kell tenni, hogy p helyére rendre annak az eseménynek a valószínűségét írjuk, hogy a rendszer nem azonosít egy adatbázisban szereplő minutiát, illetve hogy a rendszer elfogad egy adatbázisban nem szereplő minutiát. Ezek részletes vizsgálatára visszatérünk a cikksorozat 3. részében.

A témakör lezárásaképpen tehát elmondhatjuk, hogy a binomiális eloszlás valóban fontos szerepet játszik egy ujjnyomat azonosító rendszer matematikai leírásában. Ezzel az eloszlással lehet leírni, hogy bekövetkezik-e az 5. ábrán látható ujjnyomat azonosítás vagy nem. Az ábrán valódi ujjnyomatok digitalizált, vékonyított képe látható [4, 5, 6, 7]. Az azonosítás minutiapárok segítségével történik, amelyet a mondottak szerint távolsági és szög szerinti összehasonlítás alapján hajt végre egy szoftver. Felmerül a kérdés, hogy hány minutia egyezése esetén tekintünk két ujjnyomatot azonosnak. Ez is egy sarkalatos kérdés, a későbbiekben ennek a kérdésnek a vizsgálatára is visszatérünk.

Matematikai módszerek a biometriában
Elsődleges és másodlagos ujjnyomat azonosítása – 5. ábra

 

3. A maximum likelihood elv alkalmazása a binomiális eloszlás paraméterének optimális becslésére

A maximum likelihood elv széleskörűen alkalmazott eljárás a paraméterekkel adott eloszlások paramétereinek meghatározásában [8]. Lényegében optimalizálási elv, amely a következő módon fogalmazható meg:

  • Keressük a Q paraméter azon értékét, amely a Matematikai módszerek a biometriában   függvényt, vagyis a likelihood függvényt maximálissá teszi. A likelihood függvény nem más, mint egy X valószínűségi változó megfigyelése során kapott X1, X2, … Xn statisztikai minta együttes sűrűségfüggvénye. Ha feltesszük, hogy a megfigyelések függetlenek – a gyakorlatban általában ezzel a feltevéssel élünk -, akkor a likelihood függvény az egyes sűrűségfüggvények szorzata:

Matematikai módszerek a biometriában
(3.1) képlet

A maximum likelihood elv alkalmazása abból áll, hogy ennek a függvénynek meghatározzuk a maximumhelyét, azt a Q értéket, amely az Matematikai módszerek a biometriában  függvényt maximalizálja. Ez azt jelenti, hogy ennek a Q paraméternek az alkalmazásával lesz az  Matematikai módszerek a biometriában  függvénnyel adott valószínűség maximális.
Mivel a szorzat nehézkesen kezelhető, a likelihood függvény természetes logaritmusát szokás alapul venni az optimalizálásnál, valamint azt a tényt, hogy egy függvénynek és a logaritmusának a szélsőértékhelye megegyezik. A maximum likelihood elv tehát a

Matematikai módszerek a biometriában
(3.2) képlet

úgynevezett log-likelihood függvény szélsőértékhelyének meghatározását jelenti. A szélsőértékhely meghatározása a matematikai analízisből megismert módon történik. Első lépésben megoldjuk a Matematikai módszerek a biometriában  egyenletet. Ezek után alkalmazunk a Matematikai módszerek a biometriában  elégséges feltételt annak eldöntésére, hogy valóban maximumhelyet kaptunk.
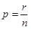
Alkalmazzuk most a maximum likelihood elvet a binomiális eloszlás Q = p paraméterének becslésére. Tegyük fel, hogy n darab független megfigyelést végeztünk egy p valószínűségű eseményre vonatkozóan. Ha a valószínűségi változó az esemény bekövetkezéseinek r száma, akkor az eloszlás Bin(n, p)-vel jelölt binomiális eloszlás. Ebben a p valószínűséget tekinthetjük ismeretlen paraméternek. A 20130613_Hanka_maximum_3_fuggv_8 likelihood függvény ekkor az

Matematikai módszerek a biometriában
(3.3) képlet

alakban írható. Ennek természetes logaritmusa a log-likelihood függvény:

Matematikai módszerek a biometriában
(3.4) képlet

Képezve a p-paraméter szerinti parciális deriváltat, a következő egyenletet kapjuk:

Matematikai módszerek a biometriában
(3.5) képlet

Amelynek megoldása: Matematikai módszerek a biometriában . Tehát a p paraméter maximum likelihood becslése éppen a megfigyelésekből adódó relatív gyakoriság. Ez valóban a maximumhelye a log-likelihood függvénynek, hiszen

Matematikai módszerek a biometriában
(3.6) képlet

Kaptunk tehát egy pontbecslést a binomiális eloszlás p paraméterének értékére. Erről a pontbecslésről még két fontos tulajdonságot érdemes megemlíteni [9, 10]. Ez a becslés egyrészt torzítatlan, azaz várható értéke éppen a p paraméter

Matematikai módszerek a biometriában
(3.7) képlet

másrészt konzisztens, ez azt jelenti, hogy tetszőleges ε pozitív szám mellett n → ∞ esetén nullához tart annak az eseménynek a valószínűsége, hogy a relatív gyakoriságnak a p-től való eltérése nagyobb, mint ε, azaz

Matematikai módszerek a biometriában
(3.8) képlet

Ezt az összefüggést úgy szokás megfogalmazni, hogy a relatív gyakoriság sztochasztikusan konvergál a p valószínűséghez, ha a megfigyelések n száma minden határon túl növekszik.

A mondandónk lényege az, hogy ha a binomiális eloszlás p paraméterét szeretnénk becsülni, akkor a „legjobb” becslés a vizsgált esemény relatív gyakorisága. Minden további becslő értéket, mérőszámot, jellemzőt, amelyet a továbbiakban a binomiális eloszlással kapcsolatban a vizsgálatok eredményének birtokában megfogalmazunk, célszerűen a maximum likelihood becsléshez (a továbbiakban ML-becslés) fogjuk viszonyítani.

4. összefoglalás

Bemutattuk egy konkrét esetben, ujjnyom érzékelő biometrikus azonosító rendszer esetén egy valószínűségeloszlás, konkrétan a binomiális eloszlás alkalmazásának lehetőségét. Az elvi lehetőség azonban megvan arra, hogy az [1, 2, 3, 8] szakirodalmakban tanulmányozható bármely eloszlást alkalmazzunk egy alkalmas szituációban. Minden egyes ilyen esetben célszerű alkalmazni a 3. pontban vázolt maximális valószínűség elvét, hogy az eloszlás optimális paramétereit megkapjuk. A továbbiakban, a cikksorozat 2. részében az 1. részben vizsgált binomiális eloszlás részletes statisztikai vizsgálata következik annak fényében, hogy az elméletet ujjnyom azonosító rendszerek vizsgálatára alkalmazzuk.

 

Dr. Hanka László PhD., Óbudai Egyetem, Bánki Donát Gépész és Biztonságtechnikai Mérnöki Kar, Mechatronikai Intézet

hanka.laszlo@bgk.uni-obuda.hu

Felhasznált irodalom

1. Denkinger Géza: Valószínűségszámítás, Tankönyvkiadó. Budapest. 1989.
ISBN: 963 18 1552 8
2. William Feller: Bevezetés a valószínűségszámításba és alkalmazásaiba, Műszaki Könyvkiadó. Budapest. 1978. ISBN: 963 10 2070 3
3 Rényi Alfréd: Valószínűségszámítás, Tankönyvkiadó. Budapest, 1981.
ISBN: 963175931 8
4. Tsai-Yang Jea,Venu Govindaraju: A minutia-based partial fingerprint recognition system, Pattern Recognition 38 (2005) 1672 – 1684
5. Jin Qi,YangshengWang: A robust fingerprint matching method, Pattern Recognition 38 (2005) 1665 – 1671
6. Hemlata Patel, Pallavi Asrodia: Fingerprint Matching Using Two Methods. International Journal of Engineering Research and Applications, Vol. 2, Issue 3, May-Jun 2012, pp.857-860
7. Joseph N. Pato, Lynette I. Millett: Biometric Recognition: Challenges and Opportunities, National Academic Press. Washington, D.C. ISBN 978-0-309-14207-6

8. Jánossy Lajos: A valószínűségelmélet alapjai és néhány alkalmazása, Tankönyvkiadó. Budapest. 1965
9. Bolla Marianna, Krámli András: Statisztikai következtetések elmélete, Typotex Kiadó Budapest, ISBN 9639548413.
10. Prékopa András: Valószínűségelmélet műszaki alkalmazásokkal, Műszaki Könyvkiadó. Budapest. 1965

 

 

A sorozat cikkei

Matematikai módszerek a biometriában 1. A binomiális eloszlás alkalmazási lehetőségei ujjnyomat azonosító rendszerek vizsgálatában, a maximum likelihood elv alkalmazása

Matematikai módszerek a biometriában 2. A Bayes-analízis és az intervallumbecslés módszere ujjnyom azonosító rendszerek vizsgálatában

Matematikai módszerek a biometriában 3. A Doddington-féle 30-as szabályt és biometrikus rendszerek megbízhatóságának statisztikai elemzése

 

Vélemény, hozzászólás?